Página 13 de 23
EJEMPLO:
- Obtenga el valor de Mr para la viga siguiente:
Viga para edificio de hospital ![]()
PoPo = 171.7 kg/m A = 218.1 cm2 Sx = 8816 cm3 Zx = 9813 cm3
ry = 9 cm J = 125 cm4


![]()
Para el patín:

\ el patín es S3
Para el alma:

\ el alma es S3
La sección es S3

kg-m
L = 15 m
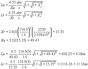
Como no conocemos Ca utilizamos la fórmula simplificada
C = 1 d = 114.9 cm t = tf=1.6 cm

Lu = 6.08 m Lr = 11.16 m
L > Lu \ es un miembro no soportado lateralmente
Y además como L > Lr sabemos que falla en la zona de pandeo elástico


MD > MR
\ La sección no es adecuada y debe aumentarse
