Página 19 de 29
3.8. - TRAZO DE CURVAS VERTICALES.
Una curva vertical es un arco de parábola de eje vertical que une dos tangentes del alineamiento vertical; la curva vertical puede ser en columpio o en cresta, la
curva vertical en columpio es una curva vertical cuya concavidad queda hacia arriba, y la
curva vertical en crestaes aquella cuya concavidad queda hacia abajo.
ELEMENTOS DE CURVA VERTICAL.

PIV
Punto de intersección de las tangentes verticales
PCV Punto en donde comienza la curva vertical
PTV Punto en donde termina la curva vertical
PSV Punto cualquiera sobre la curva vertical
p1 Pendiente de la tangente de entrada, en m/m
p2 Pendiente de la tangente de salida, en m/m
A Diferencia algebraica de pendientes
L Longitud de la curva vertical, en metros
K Variación de longitud por unidad de pendiente (parámetro)
x Distancia del PCV a un PSV, em metros
p Pendiente en un PSV, en m/m
p´ Pendiente de una cuerda, en m/m
E Externa, en metros
F Flecha, en metros
T Desviación de un PSV a la tangente de entrada, en metros
Zo Elevación del PCV, en metros
ZxElevación de un PSV, en metros
Nota: Si X y L se expresan en estaciones de 20 m la elevación de un PSV puede calcularse con cualquiera de las expresiones:
Zx = Zo + (20 p1 – (10AX/L))X
Zx = Zx – 1 + 20 p1 – (10A/L)(2X – 1)
A
= P1 – (-P2)
K
= L / A
P
= P1 – A (X/L)
P´
= ½ (P1 + P)
E
= (AL) /8
F
= E
T
= 4E (X / L)^2
Zx
= Zo + [P1 – (AX/2L)] X
Las normas de servicios técnicos de la Secretaria de Comunicaciones y Transportes, en sección de proyecto geométrico de carreteras, indica las siguientes normas de calculo para las curvas verticales:
Tangentes.- Las tangentes verticales estarán definidas por su pendiente y su longitud.
a.- Pendiente gobernadora.-
Los valores máximos determinados para la pendiente gobernadora se indican en la siguiente tabla de valores máximos de las pendientes gobernadora y de las pendientes máxima para los diferentes tipos de carreteras y terreno.
b.- Pendiente máxima.-
Los valores determinados para pendiente máxima se indican en la siguiente tabla de valores máximos de las pendientes gobernadora y de las pendientes máxima para los diferentes tipos de carreteras y terreno.
c.- Pendiente mínima.-
La pendiente mínima en zonas de sección en corte y/o bacón no deberá ser menor del cero punto cinco por ciento (0.5%) y en zonas con sección de terraplén la pendiente podrá ser nula.
d.- Longitud critica.-
Los valores de la longitud critica de las tangentes verticales con pendientes con pendientes mayores que la gobernadora, se obtendrán de la grafica de longitud critica de tangentes verticales con pendiente mayor que la gobernadora.
Valores máximos de las pendientes gobernadora y de las pendientes máximas
|
CARRETERA TIPO
|
PENDIENTE GOBERNADORA (%)
|
PENDIENTE MÁXIMA (%)
|
|
TIPO DE TERRENO
PLANO LOMERIO MONTAÑOSO
|
TIPO DE TERRENO
PLANO LOMERIO MONTAÑOSO
|
|
E
|
-- 7 9 |
7 10 13 |
|
D
|
-- 6 8 |
6 9 12 |
|
C
|
-- 5 6 |
5 7 8 |
|
B
|
-- 4 5 |
4 6 7 |
|
A
|
-- 3 4 |
4 5 6 |
LONGITUD CRITICA DE TANGENTES VERTICALES CON PENDIENTE MAYOR QUE LA GOBERNADORA

Visibilidad
a.- Curvas verticales en creta.-
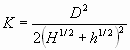
Para que las curvas verticales en cresta cumplan con la distancia de visibilidad necesaria su longitud deberá calcularse a partir del parámetro K, que se obtiene con la expresión:

Donde:
D = distancia de visibilidad, en metros
H = altura al ojo del conductor (1.14m)
h = altura del objeto (0.15 m)
b.- Curvas verticales en columpio.-
Para que las curvas verticales en columpio cumplan con la distancia de visibilidad necesaria, su longitud deberá calcularse a partir del parámetro K, que se obtiene con la expresión:

Donde:
D = distancia de visibilidad, en metros
T = pendiente del haz luminoso de los faros (0.0175)
H = altura de los faros (0.64 m)
c.- Requisitos de visibilidad.-
- La distancia de visibilidad de parada deberá proporcionarse en todas las curvas verticales, este requisito esta tomado en cuenta en el valor del parámetro K, especificado en la siguiente tabla "Valores mínimos del parámetro K y de la longitud mínima aceptable de las curvas verticales"
- La distancia de visibilidad de encuentro deberá proporcionarse en las curvas verticales en cresta de las carreteras tipo "E", tal como se especifica en la siguiente tabla, "Valores mínimos del parámetro K y de la longitud mínima aceptable de las curvas verticales"
VALORES MINIMOS DEL PARÁMETRO k Y DE LA LONGITUD MINIMA ACEPTABLE DE LAS CURVAS VERTICALES
|
Velocidad de proyecto (km/h)
|
Valores del parámetro K (m/%)
|
Longitud mínima aceptable (m)
|
|
Curvas en cresta
|
Curvas en columpio
|
|
Carretera tipo
E D,C,B,A
|
Carretera tipo
E,D,C,B,A
|
|
30
|
4
|
3
|
4
|
20
|
|
40
|
7
|
4
|
7
|
30
|
|
50
|
12
|
8
|
10
|
30
|
|
60
|
23
|
12
|
15
|
40
|
|
70
|
36
|
20
|
20
|
40
|
|
80
|
-
|
31
|
25
|
50
|
|
90
|
-
|
43
|
31
|
50
|
|
100
|
-
|
57
|
37
|
60
|
|
110
|
-
|
72
|
43
|
60
|
La distancia de visibilidad de rebase solo se proporcionara cuando así lo indiquen las especificaciones de proyecto y/o lo ordene la secretaria, los valores del parámetro K, para satisfacer son:
|
Velocidad de proyecto en km/h
|
30
|
40
|
50
|
60
|
70
|
80
|
90
|
100
|
110
|
|
Parámetro K para rebase en m/%
|
18
|
32
|
50
|
73
|
99
|
130
|
164
|
203
|
245
|
Curvas verticales.-
Las curvas verticales serán parábolas de eje vertical y están definidas por su longitud y por la diferencia algebraica de las pendientes de las tangentes verticales que une.
a.- Longitud mínima:
La longitud mínima de las curvas verticales se calculara con la expresión:
L = K A
En donde:
L = Longitud mínima de la curva vertical, en metros
K = Parámetro de la curva cuyo valor mínimo se especifica
En la tabla de valores mínimos del parámetro K y de la longitud mínima aceptable de las curvas verticales
A = Diferencia algebraica de las pendientes de las Tangentes verticales.
La longitud mínima de las curvas verticales en ningún caso deberá ser menor a las mostradas en las siguientes dos tablas: "Longitud minima de las curvas verticales en cresta" y "Longitud minima de las curvas verticales en columpio"
b).- Longitud máxima.-
No existirá limite de longitud máxima para las curvas verticales. En caso de curvas verticales en cresta con pendiente de entrada y salida de signos contrarios, se deberá revisar el drenaje cuando a la longitud de la curva proyectada corresponda un valor del parámetro K superior a 43.
LONGITUD MINIMA DE LAS CURVAS VERTICALES EN CRESTA

LONGITUD MINIMA DE LAS CURVAS VERTICALES EN COLUMPIO

Calculo de curvas verticales
Pasara el calculo y trazo de las curvas verticales es necesario contar con un perfil del terreno, así como las longitudes y pendientes de cada segmento del camino. Es necesario revisar que la pendiente en estos segmentos del camino nunca sea mayor a la pendiente máxima dada por la tabla de tipos y características de caminos.
Es necesario también respetar las condiciones de longitud mínima de las curvas verticales en cresta y columpio.
Las formulas de trazo de curvas verticales son en comparación, más simples que las de curvas verticales, como se muestra a continuación.


Po = pendiente de entrada
Pi = pendiente de salida
L = numero total de estaciones
Perfil del terreno

Calculo de curva vertical en columpio
L = (-0.50)-(0.8) = 1.3 = 2 estaciones de 20 mts = 40 mts
K = (1.3) / (10)(2) = 0.065
E = (1.3)(40)/8 = 6.5
F = 6.5
0.50-------------100
x-----------------20
X = 0.1
0.8-------------100
x-----------------20
X = 0.16
PIV = 512.48
PCV = 512.48 – 0.1 = 512.38
PTV = 512.48 + 0.16 = 512.64
|
Punto
|
Elevación
|
X^2
|
K
|
Y
|
Cota
|
|
0
|
512.38
|
0
|
0.065
|
0
|
512.38
|
|
1
|
512.48
|
1
|
0.065
|
0.0315
|
512.4485
|
|
0
|
512.64
|
0
|
0.065
|
0
|
512.64
|

Valores máximos de las pendientes gobernadora y de las pendientes máximas
|
CARRETERA TIPO
|
PENDIENTE GOBERNADORA (%)
|
PENDIENTE MÁXIMA (%)
|
|
TIPO DE TERRENO
PLANO LOMERIO MONTAÑOSO
|
TIPO DE TERRENO
PLANO LOMERIO MONTAÑOSO
|
|
E
|
-- 7 9
|
7 10 13
|
|
D
|
-- 6 8
|
6 9 12
|
|
C
|
-- 5 6
|
5 7 8
|
|
B
|
-- 4 5
|
4 6 7
|
|
A
|
-- 3 4
|
4 5 6
|